临床等效性检验是临床试验中评价新药疗效常用的一种方法。我们知道,等效假设检验,又称为双单侧检验(two one-side tests,TOST),一般用两次单侧检验,需要两个独立的单侧检验在相同的检验水准α/2下,同时拒绝零假设,则可以下等效性结论,当主要评价指标为定性资料且为高优指标时,两样本率比较的临床等效性检验的主要假设检验为:
零假设(H0L):πC-πT≥Δ , 备则假设(H1L):πC-πT<Δ
零假设(H0U):πC-πT≤-Δ, 备则假设(H1U):πC-πT>-Δ
注:πC为对照组有效率估计值;πT为试验组有效率估计值;Δ>0为临床等效界值。
等效性试验样本含量的估计
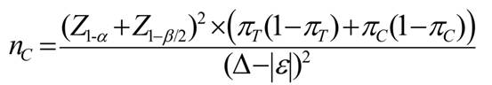
在检验水准α下,按照等效界值Δ,欲达到(1-β)把握度时,则需要对照组的样本量为:
当两组样本例数相等时:

当两组样本例数不等时:

公式中n代表每组所需的样本含量;πT代表试验组的总体率,πC代表对照组的总体率值,当总体率未知时常用实际观察到的试验组样本率PT和对照组样本率Pc估计值代替来总体率πT和πC;ε为试验组与阳性对照组的两组率之差(ε=πT-πC),通常用估计出的两组率的实际差值(PT-Pc)代替,且一即般假设两组率相等,即ε=0;Δ表示具有临床意义的等效界值;Z1-α表示标准正态分布的第1-α分位数或单侧α界值、Z1-β/2表示标准正态分布双侧β界值,Z1-α和 Z1-β/2均可通过查阅Z值表获得。
本节将主要讲解采用PASS15软件实现成组设计、两样本率比较时临床等效性试验的样本所需的样本含量估计方法。
例
某药厂欲开展一项新药临床试验研究新型药品A的治疗足癣的作用,与临床有效的阳性药进行对照。新药与阳性对照药的比例分配为1:1,研究新药的临床有效率是否等效于阳性药。根据以往研究和统计学的一般要求,取α=0.05,β=0.2,等效界值δ=0.15,平均有效率P=0.80,并假定两组总体有效率相等,问每组各需要多少病例?
解析
本例是个临床等效性研究,主要结局指标是临床有效率,是定性变量;目的是当两样本含量相等、进行的两样本率比较时,等效性检验所需的样本含量估计。根据题目我们知道了五个参数:①两样本有效率PT=PC=0.8;②两样本率之差ε=PT-PC=0(注意:当两组间有效率之差≠0,此时采用PASS软件和公式计算所需样本量会有较大相差);③临床等效界值Δ=0.15;④α=0.05;⑤检验效能(1-β)=0.8。
PASS软件样本含量估算的具体步骤:
01 PASS主菜单进入样本含量估算设置界面:
打开PASS15软件,①点击Equivalence菜单并双击或其前面的“++”展开子菜单栏;→②点击Proportions菜单;→③点击Equivalence Tests for the Difference Between Two Proportions → 弹出 Equivalence Tests for the Difference Between Two Proportions对话框进入两样本率比较时等效性检验所需要的样本含量估计界面,详见操作示意图(图1)

图1 PASS进入两样本率比较时等效性检验所需要的样本量估计示意图
02 PASS样本含量估算参数设置:
①Solve For: Sample Size,首先说明我们本次所求的结果为样本含量;→②Power Calculation Method:Normal Approximation ,指定采用“正态近似法”计算检验效能(本次主要计算样本含量,与本次研究关系不大);→③Test Type:Z-Test(Pooled),指定两样本率比较的方法(PASS15软件共有8种方法,最常用的有Z-Test(Pooled)和 Z-Test(Unpooled)法),为了和计算公式的结果尽量保持一致,本次采用Z-Test(Pooled)法即两组率派生合并正态近似法进行估算;→④Power:0.8,表明检验效能为80%;→⑤Alpha:0.05,表示检验水准为0.05;→⑥Group Allocation:Enter R= N2/N1,solve for N1 and N2,设定两组样本(对照组/处理组)分配比例;→⑦R:1,指定两样本例数之比(对照组/处理组)分配比例)为1,即本例试验组与对照组的样本量相等;→⑧Input Type:Differences,指定效应指标的类型(有“Proportions”和“Differences”两种形式,选择“Proportions”时需要知道两组的发生率以及试验组的上下限等效界值;选择“Differences”时只需知道对照组的发生率以及两组的率差和等效界值),本例直接知道两组的事件发生率和等效界值,故选“Differences”;→⑨D0.U(Upper Equivalence Difference):0.15,指定等效界值上限为0.15;→⑩D0.L(Lower Equivalence Difference):-D0.U ,指定等效界值下限为上限的负值;→⑪D1(Actual Difference):0,试验组与对照组事件发生率(本例叫有效率)之差D1=0,说明两组有效率相等;→⑫P2(Group2 Proportion):0.8,对照组事件发生率即有效率P2=0.8;→⑬点击Calculate按钮,完成两样本率比较、等效性检验的样本含量估算,详见操作示意图(图2)

图2 两样本率比较时等效性检验所需要的样本含量估算操作示意图
03 PASS样本含量估算结果:
由图3可知,PASS软件给出的结果主要有:样本含量估算的结果、相关参考文献、样本量估算报告中出现各名词的定义、对计算结果的总结描述以及假定脱落率为20%时所需的样本含量估计结果和其各名词的相关定义。由于脱落率不同研究结果各不相同,故本次不看脱落率为20%的相关结果。从结果可知,按1:1比例安排试验组和对照组,每组需要样本122例病人,总共需要244例(和计算公式的结果一致)。


图3 两样本率比较时等效性检验所需要的样本含量估算结果
想要了解更多统计教程相关知识,请登录常笑医学网中医学统计栏目进行查询和学习。
【广告】(免责声明:本文为本网站出于传播商业信息之目的进行转载发布,不代表本网站的观点及立场。本文所涉文、图、音视频等资料之一切权利和法律责任归材料提供方所有和承担。本网站对此资讯文字、图片等所有信息的真实性不作任何保证或承诺,亦不构成任何购买、投资等建议,据此操作者风险自担。)
