中国海关总署公布的5月最新外贸统计数据不及预期。
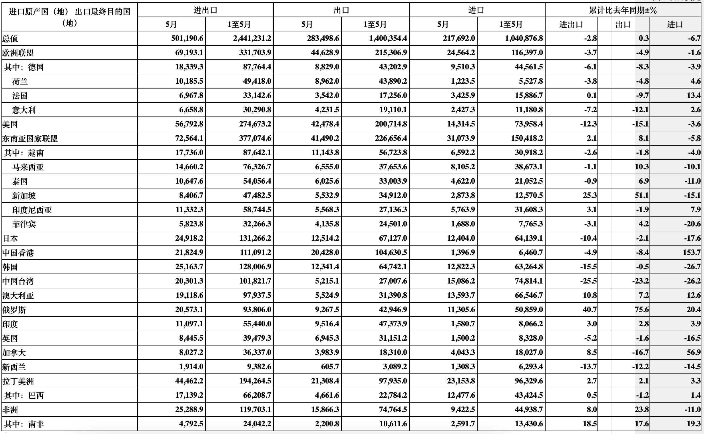
5月中国进出口商品总值为5011.91亿美元,同比下降6.2%。其中出口总值2834.99亿美元,同比下降7.5%;进口总值2176.92亿美元,同比下降4.5%;贸易顺差658.07亿美元,同比收窄16.1%。
自去年10月以来,中国以美元计价的进出口总值、出口总值和进口总值三项主要数据已连续多月出现同比下跌。
今年3月和4月出口总值连续两个月14.8%和8.5%的强势同比增长,被外界普遍视为中国外贸重新走上正轨的信号。凭借着这两个月的贸易复苏,中国今年1至5月美元计进出口总值同比略微下跌2.8%、出口和进口总值则分别同比微涨0.3%和下跌6.7%。
不过以荷兰国际集团为代表的部分机构则将3至4月的外贸增速复苏归因于去年4月疫情管控措施带来的低基数效应,而5月不容乐观的外贸数据也印证着发达经济体对华贸易量的萎缩仍将持续施压对外贸易。
相比中国与第一大贸易伙伴东盟的进出口总值在1-5月同比增长2.1%至3771亿美元,中国与主要发达经济体之间的进出口总值几乎无一例外地出现了萎缩。

今年前5个月中国对第二大贸易伙伴欧盟的进出口总值同比萎缩3.7%至3317亿美元,对第三大贸易伙伴美国的进出口总值则同比下跌12.3%至2747亿美元,对日本和韩国的进出口总值同样分别下跌10.4%和15.5%至1312.6亿美元和1280亿美元。
美国对各经济体进口全面收缩
导致中国对欧盟和美国外贸规模出现下滑的主要原因,是这两大经济体在通胀和增长乏力多重因素冲击下的需求萎缩。
6月7日美国商务部公布的外贸数据显示,美国4月经季节调整后进口总值达2609亿美元,同比下跌6.6%;出口总值达1638亿美元,同比下跌5.7%。这已经是美国进出口两项数据连续第三个月同比下跌。
与此同时,美国4月的贸易逆差也上升至971亿美元,为过去六个月来新高。三菱日联银行的首席经济学家Christopher Rupkey表示:“贸易条件正在恶化,这将使得二季度的实际经济增长下降至接近停滞的1%。”
除了美国对中国的外贸规模在下降之外,美国对世界其他主要经济体的贸易额同样在萎缩。
4月美国对北美自贸协定区进口总值达725亿美元,同比下跌5.9%;对欧盟进口总值为466.6亿美元,同比下降0.3%;对亚洲国家整体进口总值为1008亿美元,同样同比下滑13.3%,其中仅对日逆势同比上涨5.7%至129亿美元。
出口方面,全球需求放缓、美元重新升值以及石油出口的回落都打击了美国出口总值的回暖。牛津经济研究院的经济学家Matthew Martin表示:“4月中旬以来美元的走强将进一步对出口造成下行压力,美元的波动会滞后地影响贸易平衡。”而主要由原油和燃料构成的工业用品和材料大类出口值创下过去16个月来新低,则是造成4月美国出口数据不理想的直接原因。
欧盟贸易出现结构性变化
与出口和进口数据双双下降的美国不同,欧盟则在渡过能源危机之后重新恢复至贸易顺差。但是与快速增长的出口额相比,经济陷入衰退的欧盟市场进口额却出现了进一步的萎缩。
欧盟统计局5月16日公布的3月外贸数据显示,当月欧元区的商品出口总值为2692亿欧元,同比增长7.5%;商品进口总值为2436亿欧元,同比下降10%;贸易顺差为256亿欧元,与去年同期200亿欧元的贸易逆差相比有所改善。
值得注意的是,相比于与主要经济体贸易规模均有所收缩的美国,欧盟的国际贸易则出现了结构性的变化。
在进口方面,1至3月欧盟对美国进口总值同比上涨15.1%至879亿欧元,对日进口总值同比上涨13%至182亿欧元,对韩进口总值同比上涨11.9%至181亿欧元。主要贸易伙伴中仅对中国和俄罗斯的进口出现了大幅下滑,其中欧盟对俄进口同比大跌72.1%至181亿欧元,俄罗斯也从欧盟第三大贸易伙伴变成第九大贸易伙伴,欧盟对中国进口也同比下跌10.6%至1321亿欧元,但中国依然是欧盟第一大商品进口国。
出口方面,1至3月欧盟对主要经济体的出口额均呈现快速上涨,唯一的例外则是日本和中国。欧盟对华和对日出口总值分别同比微涨2.9%和下跌10.3%。相比于中国在欧盟进口贸易结构中稳居第一的地位,欧盟出口结构之中美国占据绝对优势。
欧盟外贸结构性的变化也明显地体现在中国在欧盟内部第一大贸易伙伴国德国的贸易收支数据上。
中国海关总署的数据显示,1至5月中德贸易进出口总值同比下跌6.1%至878亿美元;中国对德国出口总值同比下跌8.3%至432亿美元;对德进口总值同比下跌3.9%至446亿美元。
6月5日德国联邦统计局公布的4月外贸数据显示,当月德国出口额同比增长1.5%至1304亿欧元,进口额同比下跌10.3%至1120亿欧元,贸易顺差持续扩大。具体到各主要经济体,除欧盟成员国之外,中国仍以214亿欧元的贸易规模居于第一位,但该数字与美国-德国之间211亿欧元贸易规模的差距已微乎其微。
这也意味着美国可能将在今年取代中国成为德国第一大贸易伙伴,此前中国已连续七年为德国最重要贸易伙伴。
