昨天(3月9日),软件谷和燕子矶两盘新领销许,今天起正式报名;
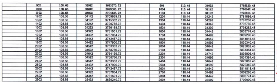
1、保利合肥城建凤起云台昨日(3月9日)领4号楼销许,共120套全装修房源(人才39套,无房39/52套),户型建面约89、108、130㎡,销许均价41270元/㎡,升级装修包2500元/㎡,首付最低5成,验资166万元。
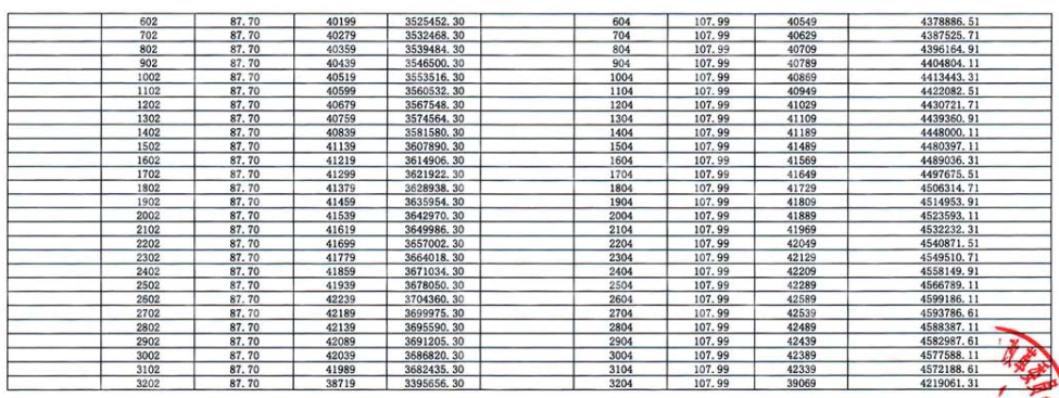
2、颐和四季府昨日(3月9日)领6号楼销许,共116套房源(人才35套、无房35/47套),户型建面约108、143㎡,全装修(部分毛坯)交付,销许均价34102元/㎡,另有升级装修包2650元/㎡,首付3成起。

01、均价约4.1万/㎡,首付5成,软件谷凤起云台即将加推
保利合肥城建凤起云台昨天(3月9日)领4号楼销许,共120套全装修房源(人才39套,无房39/52套),户型建面约89、108、130㎡,销许均价41270元/㎡,升级装修包2500元/㎡,首付最低5成,验资166万元。
报名时间:3月10日上午09:00—3月11日09:00;
报名方式:报名人可通过关注公众号:南京房地产微政务,点击“房帮宁-买房报名-宁小通-商品房报名”进入报名通道进行线上报名。

一房一价表:


据南京网上房地产已上传数据显示,截止发稿,项目共入网384套房源,目前累计认购348套房源,去化超9成。

项目户型最小89㎡,是目前区域内起步面积最小的楼盘。

目前,凤起云台已公开建面约108㎡和130㎡均为带软装样板间,欧派入户门、日立中央空调、威能地暖、百朗新风。厨房老板三件套,卫生间高仪、唯宝品牌等。
130㎡样板间,南向阳台8.6*1.6米,全景落地窗,封闭交付,主卧双台盆,独立淋浴间等。
户型一览:
凤起云台规划7栋32层高层,由合肥城建、保利联合开发(国央企联手),保利负责操盘。
从公示的效果图来看,项目的楼顶做了独特的造型设计,外立面采用大面积玻璃幕墙和铝板的搭配,窗墙比较高,整体看来十分调性十足!
另外从效果图看出,楼栋之间都有高低错落的景观树围绕,值得一提的是,凤起云台还配备了下沉式主题会所,涵盖健身房、社区课堂、亲子阅读、临流观景、邻里休闲、老者和乐等六大功能。

目前,片区内的配套已经逐步更迭蜕变:
首先,产业资源方面,南京软件产业集中就在雨花台区的软件谷,这里已形成“五大产业集群”,包括华为、中兴、三星、亚信、东软、润和软件等,未来将吸引更多高素质研发人才落户,会产生大量的置业需求以及形成更纯粹的圈层。
交通方面,区域内有已经通车的S3号线规划中的地铁16号线、8号线;此外,区域内有已建成的机场二通道南段、龙翔大道等16条道路,可快速达到河西、江北等区域,未来交通便捷,全城即达。
教育方面,区域内已有软件谷第二小学、软件谷中学、中华中学雨花校区。雨花台区还将签约引进金陵中学、南师附中等优质教育资源。
医疗方面,江苏省人民医院(南京医科大学第一附属医院)妇幼分院、江苏省妇幼保健院已经与雨花台区政府签订“府院合作”协议,共建江苏省妇幼保健院总部(江苏省人民医院雨花分院)项目。
商业方面,目前已有苏果超市、农贸市场以及部分社区商业,可以满足日常的生活需求;此外还有区域内的雨花客厅、楚翘城、世茂52+等大型商业综合体的加持,未来雨花核心区CBD还计划投资140亿打造55万方城市综合体。
02、均价约3.4万/㎡!燕子矶热盘正在报名……
颐和四季府昨日(3月9日)领6号楼销许,共116套房源(人才35套、无房35/47套),户型建面约108、143㎡,全装修(部分毛坯)交付,销许均价34102元/㎡,另有升级装修包2650元/㎡,首付3成起。
摇号报名时间:3月10日上午9:00-3月12日上午9:00;
报名方式:报名人可通过关注公众号:南京房产微政务,点击“宁小通”进入报通道进行线上报名。

一房一价表:


根据南京网上房地产显示,项目共开盘过4次605套房源,累计认购+成交共422套,去化约7成。

该地块于2021年11月25日,经过竞拍,最终被颐居以总价22.1亿元拿下,成交楼面价17923元/㎡,未来毛坯限价32000元/㎡,项目是颐居在燕子矶继燕熙台之后的第二个项目。

项目户型图如下:
入户大堂采用“悬浮顶”设计,景墙位置甄选岩板搭配金属装饰及灯光设计,电梯内部以部分岩板点缀其中,整体质感精致考究。

108㎡户型的客厅开间约5.3米,阳台采用了大面积玻璃,保证了充足的采光。

U型厨房,方便操作。

主卧套房设计,有独立卫生间,保证了私密性。项目的装标比较高,三大件采用大金中央空调、菲斯曼/AO史密斯地暖、百朗/爱迪士新风系统,另外厨卫等均采用了西门子、杜拉维特、科勒等一线品牌

项目位于燕子矶新城,如今的燕子矶,发展飞速!生活氛围正在逐步形成,配套也在不断完善中。
交通方面:三条地铁交汇,分别是6号线、7号线和1号线北延。1号线北延线也传来新动态,预计今年年底建成通车。
商业方面:有宝能金融中心、万象天地、招商花园城等,未来还将有大型酒店等;
教育方面:有目前已投入使用南师附中燕子矶新城学校,南外仙林分校燕子矶校区、泰晤士国际学校、南京晓庄学院附属小学等文教资源等,未来区域将有46所学校。
医疗方面:栖霞区人民政府已与江苏省人民医院签订共建燕子矶新城医院合作协议,打造约13万方的综合性医院。去年7月,随着燕子矶新城医院最新规划及效果图出炉,项目已开始进入实质性建设阶段。