周末楼市看点:
1、今日,南京楼市迎来2023年首场开盘,2629人报名;
2、河西南纯新盘中北金基涵樾府52套新豪宅,正在报名;
3、燕子矶配套升级,区域内两大楼盘、316套房源正在报名。
01、中签率32%,南京楼市迎来2023年首场开盘
1月8日上午,位于秦淮区观前里1号、南部新城对面的观泓雅苑在售楼处开盘,吸引2629人报名。南京楼市迎来了2023年首场开盘。
本次通过审核、公示拟参加选房的家庭或个人共2629户(含优先保障对象7户),将采用分时段、分批次的方式安排主申购人依次到场选房(高龄老人、孕妇、残疾人士等确有需要的,经申请获准可安排一名家属陪同)。
具体安排时间如下:

项目本次加推的第三批3栋(A5、A10、B4),总计853套共有产权住房,总计853套房源,共吸引2629人报名,中签率32%。此外,这也是项目最后3栋楼,卖完收官,准现房,毛坯交付,计划于2023年4月底前竣工。

本次供应房源分为建筑面积约75㎡(152套)、82㎡(672套)、88㎡(29套)三种户型,具体面积以实测为准,房源信息如下:

户型一览:







项目此前共开盘过两次,项目前两次开盘都热卖,吸引累计9000多人报名。
去年8月初,观泓雅苑推出两栋楼共514套房,户型建筑面积约75-115㎡,毛坯均价32062元/㎡,首付3成起,共吸引4073组买房人摇号,综合中签率低至约12.6%。
11月19日,观泓雅苑在售楼处开盘,推出二批次5栋楼共1357套房,户型建筑面积约75-115㎡,毛坯均价约32062元/㎡,首付3成,58万起,5193组买房人综合中签率低至26%,当天全部卖光。
壹城观泓雅苑,是南京首个共有产权住房试点项目,申购人购买比例为80%,公有权人持有比例20%。
作为南京首个共有产权住房试点楼盘,只针对在宁无房且符合一定条件的家庭、个人以及人才供应。
共有产权住房与普通商品房最大的不同点,就在于买房人只需购买80%的产权份额,另外20%的份额由建设单位南京壹城建设集团有限责任公司作为共有权人持有。
简单来说,一套房,买房人只购买房屋总价的80%,却能享受100%的实际居住面积。
而按80%份额计算,买房人上车最低门槛仅在200万以内,首付三成仅约58万起。给了很多年轻人安家南京的机会,实打实的福利盘。
项目之所以受到如此多人的追捧,除了跟价格有关,还因为它的地理位置。
项目位于主城秦淮腹地,月牙湖南,北眺紫金山,七桥瓮生态湿地公园举步即达,此次加推楼栋为一线秦淮河。周边生活配套醇熟,交通、教育、商业等资源荟萃,生活十分便捷。

项目所在区域,临近地铁5号线(在建中)与8号线(规划中)换乘站“石门坎站”,地铁6号线(在建中)“中和桥站”,未来2站大校场,3站夫子庙,6站新街口,三线轨交,畅达全城。
西侧游小国际部、鑫园小学游府西街小学分校,地块内规划幼儿园,具体施教区以教育部门划定为准。周边南理工、南农、南航等高校林立,高知人文氛围浓厚。
龙蟠汇、光华茂、建面约26万㎡至美科技广场(在建中)等商场在侧,南部新城、夫子庙、新街口三大商圈环绕,美好生活一站尽享。
02、均价49918元/㎡,河西南金基纯新盘正在报名
1月6日,位于河西南的千万级纯新盘中北金基涵樾府领取6#销许,共52套房,主力户型建面约175㎡四房,销许均价约49918元/㎡(另有5500元/㎡装修包可选),首付8成,验资651万,总价约815万起。

报名时间:2023年1月7日9:00-2023年1月9日12:00;
报名方式:线上报名,关注【南京房产微政务】并点击(房帮宁→买房报名→线上报名)搜索“涵樾府”,按提示进行报名资料上传;
所需材料:身份证照片、购房证明、本人名下南京市范围内银行出具的不低于651万存款证明(自报名之日起冻结3天)、购房人签署的【验资证明查验授权委托书】。

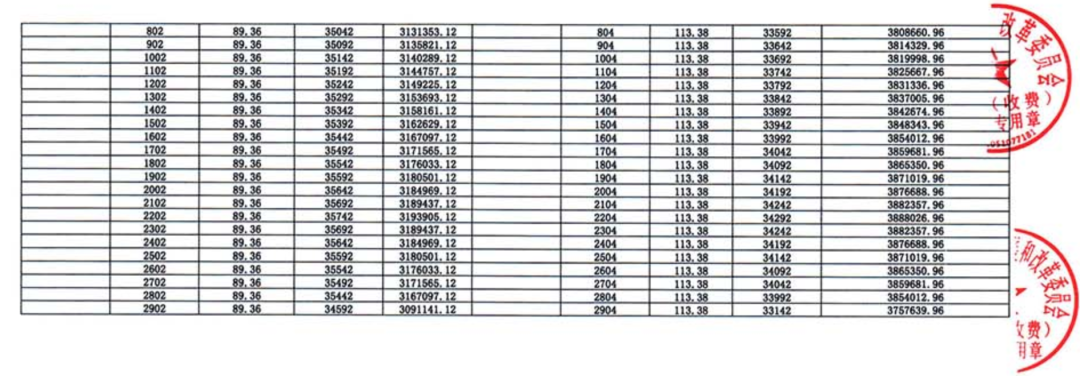
一房一价:

户型一览:

该户型五开间朝南,南向开间约17.2m,约10m宽幕跑道阳台,约0.47的窗墙比;

采用餐厨客LDBK一体化设计,客厅开间达到约6.9m;约5.2m开间的U型厨房;

主卧全功能行政套房设计,步入式衣帽间、起居室、飘窗台、卫生间独立分开;此外,浴缸、淋浴、双台盆盥洗台、坐便器四分离,打造独立卫浴系统;

在产品设计上,除了主卫配置了“美妆小冰箱”,在阳台上也设置了出风口。

据本周本站统计,2023年河西楼市预计有16家楼盘有入市计划。其中河西南就有9家,占比超一半。仍然是河西新房的主力供货区,而河西待入市的7家纯新盘中,就有6家位于河西南。
毕竟2021年南京集中土拍中,河西出让的几幅地块,基本都在河西南,其中第二次土拍,河西出让4幅地块,3幅位于河西南;第三次土拍河西共出让5幅地块,4幅在河西南。
3大在售楼盘:分别是:嘉璟峰、深业南湾上府、枫璟雅园,可售房源累计600套左右。
7个纯新盘:分别是:中北金基涵樾府、华润鱼嘴润府、中能建城发G29、厦门国贸G70、颐居G71、奥体建设G72、厦门建发G73。

03、燕子矶316套房源,正在报名
与此同时,在宁小通上,燕子矶保利燕璟和颂、颐和四季府也先后领取项目销许,正在报名。其中保利燕璟和颂报名时间长达5天。

两家楼盘均位于城北燕子矶,近年来燕子矶板块在城北崛起飞速,2011年,燕子矶被列为南京重点打造的十大板块之一;此后,根据南京市规划局发布的燕子矶新城区改造详细规划,燕子矶片区将从传统的老工业基地朝着人文、滨江、宜居的新城迈进,板块价值再上一层台阶。
并且就在上周,南京地铁1号线北延,7号线北段、燕子矶长江隧道、和燕路快速化改造(主线)正式通车,燕子矶迎来历史性一刻。
此外,燕子矶板块的商业、教育等各项配套也在紧密兑现中。
商业方面:区域内拥有招商花园城、21万方的华润万象天地等城市级综合商业,繁盛体验交织。
其中,招商花园城是花园式购物中心,提供购物、娱乐、餐饮、休闲的一体化体验;21万方的华润万象天地综合体项目涵盖商业综合体、甲级写字楼、高端酒店等业态,建成后将打造“聚焦城北、辐射全市、消费升级”的一站式体验中心,成为南京城北商业新地标。将引入超500家优质品牌,其中60%的品牌为区域首进,将通过六大商业主题空间和三大核心主力店的构建,提升营商环境,激活发展潜力。目前项目已封顶,预计2023年开业。
教育方面:南师附中燕子矶新城学校已经开学,区域内还有燕子矶幼儿园,南外仙林分校燕子矶校区等。前不久,燕子矶新城观音门中学、观音门小学及幼儿园规划正式出炉,板块再添两所学校。
医疗方面:未来,燕子矶新城医院、市妇幼保健院分院、三甲江苏省中西医结合等配套也日益醇熟。
生活配套方面:燕子矶新城体育公园正在加速建设中,目前项目施工迎来最新进展,整体楼栋建设进度已达80%,预计今年底前将实现主体封顶,项目整体将于2024年竣工。
颐和四季1月6日,颐和四季领取项目1号楼销许,共116套房源(人才35套、无房35/47套),户型建面约89、108、128㎡,销许均价34185元/㎡,另有升级装修包2650元/㎡,首付3成起。

报名时间:2022年1月7日09:00-1月9日12:00;
报名方式:报名人可通过关注公众号“南京房地产微政务”,点击“房帮宁-买房报名-宁小通-商品房报名”进入报名通道进行线上报名。
一房一价:


户型一览:



保利燕璟和颂1月5日,项目领取2、7号楼销许,共200套(人才60套、无房60套),户型建面约89、99、109、132㎡,全装修销许均价约34432元/㎡,另有3200元/㎡装修包可选,首付3成起,无需验资。目前项目正在报名。

报名时间:2022年1月6日09:00-1月11日09:00;报名方式:报名人可通过关注公众号“南京房地产微政务”,点击“房帮宁-买房报名-宁小通-商品房报名”进入报名通道进行线上报名。
一房一价表:

户型一览:




保利燕璟和颂的精装标准配备品牌新风、中央空调、全屋地暖系统三大件,松下、兰舍、菲斯曼、唯宝、高仪等一线品牌也都能看到,且贴心设置了智慧家居系统。在细节上,做了无主灯设计,建面约132㎡主卫安装了美妆冰箱等亮点。

目前燕子矶的新房市场,除了保利燕璟和颂、华发四季雅筑、颐和四季府外,区域内还有2盘待入市(栖霞建设G33、高科G34)。
栖霞建设G33地块:项目拟打造10栋28-29F高层住宅,含包均价在3.5-3.6万/㎡,为栖霞建设在燕子矶板块打造的首个项目。

燕子矶高科G34:属于燕子矶滨江老镇地块,2022年7月12日被高科竞得,成交总价16亿元,成交楼面价17349元/㎡,这块地为不限价地块。
住宅部分定案名为:江悦堂,将分为南苑、北苑、东苑三个住宅区;商业部分定案名为:燕栖渡商业广场,据悉,项目将对标太古里,打造南京目的性消费商业新名片。
