【今日楼市看点】
昨天,江宁两大热盘新领销许,今起报名,分别是位于江宁大学城的伟星万科四季光年和位于青龙山的玖峰兰庭。
- 1、伟星万科四季光年10月18日申领收官房源8、9号楼销许,共260套带装修房源,目前正在报名,户型建面约89、106㎡,均价26684元/㎡!
- 2、玖峰兰庭新领4、8号楼销许,共184套房源,户型建面约89、108㎡,销许均价26860元/㎡,精装现房交付。
01、均价26684元/㎡!江宁地铁口热盘加推!卖完收官!
伟星万科四季光年10月18日申领收官房源8、9号楼销许,共260套带装修房源,目前正在报名,户型建面约89、106㎡,均价26684元/㎡!
报名时间:10月18日上午9点至10月19日上午9点

报名方式:关注微信公众号“南京房产微政务”,点击下方房帮宁进入“宁小通”报名通道。
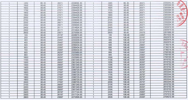
一房一价表:8号楼
9号楼
项目共规划11栋高层住宅,此次加推的是收官楼栋。共有89㎡、106㎡、125㎡三种户型;
项目内部设有漫谈社区中心、光年会客厅、漫游活力轴、四季能量环等混龄空间,提供多样活动空间和社区服务,在此可以享受舒适的公园型环境、定制化的交流体验、毗邻商街的便捷生活。
项目还设计了约2.3万方的综合“漫享活力街区”,打破常规社商单一性,以聚合的多元业态,带来丰富的生活体验,形成一个能够带来强大引力的综合住区。
户型一览:



该项目位于江宁大学城板块,周边近30所高校环绕,书香氛围浓厚。项目直线距离地铁1号线首发站约800米,集住宅、商业街、mall、代建公园等四大业态于一身,有中国TOP1万科物业提供品质服务。
江宁大学城,起步虽晚,但是起点颇高!
作为南京科技创新策源地,目前江宁大学城已有入驻高校约27所,国家双一流学校约5个,国家、省级重点学科约67个,两院院士约20位以及大批“长江学者”等顶尖人才。
同时,大学城板块几经迭新蜕变,区域内配置均已完善!
在产业配套上,江宁大学城依托其自带的科研优势和人才资源,整合园区政产学研资源,集“研-产-服务”一体,凝合成强大的引力,推动“中国药谷”建设,发掘江宁新时代。
不仅有医药产业,同时也引入了各项高新科技产业。如引入上汽大通、国际智造巨擘舍弗勒、世界500强蒂森克虏伯等超3000家国内外著名企业。
在生态环境上,大学城本身有着依山傍水的天然优势,拥有方山国家级3A景区和天印湖鹭鸟保护区,其中,方山是整个江宁主城片区仅有的都市绿肺、天然氧吧。
在商业资源上,项目除了自带大的商业体,周边拥有成熟运营中的文鼎广场,龙湖新壹城、保利樾广场;此外借助便捷交通,可迅速到达砂之船、百家湖金鹰、景峰KINGMO等大型商圈。
综合来看,江宁大学城是目前南京楼市各板块中,最具活力的!在政策、区位以及各项配置都发展均衡,后期潜力无限!
02、现房再加推!均价约26860元/㎡!200多万上车南京!
玖峰兰庭新领4、8号楼销许,共184套房源,户型建面约89、108㎡,销许均价26860元/㎡,精装现房交付,目前项目正在报名;
报名时间:10月18日上午9点至10月19日上午9点
报名方式:关注微信公众号“南京房产微政务”,点击下方房帮宁进入“宁小通”报名通道。
一房一价表;
4幢 :
8幢
值得一提的是,该楼盘是板块唯一在售实景现房,目前,所有楼栋都已经封顶,精装包括了新风、地暖、中央空调三大件,整体精装涉及品牌有方太、科勒、老板、摩恩等......
建面约89㎡ 三房两厅两卫

建面约109㎡ 三室两厅两卫

项目4月中旬首开,算上这次已经是5次领证开盘,整体节奏很快,共入网564套房源,截至目前累计认购+成交472套,去化超8成,总体去化不错。
其中首开的88套房源全部售罄,当时首开的88套精装现房,吸引269组买房人报名,综合中签率约32.7%;第二次虽没有达到摇号要求,但截至目前,96套房源,卖掉了89套,去化超9成。
能取得这样的成绩,其一是因为该项目为现房,毕竟当下房企频频爆雷,延迟交付、工地停工等现象比比皆是,让买房人不敢轻易下手。其二是户型较小,总价低,适合刚需,而且项目无精装包。
加之项目所在的青龙山国际新城板块,定位相当高,是继江心洲之后,全南京第二个一二级联动项目,被誉为第二个“河西”,周边配套也不错。
交通方面,区域内有地铁1号线,还规划有地铁10号线二期(建设中)、12号线、13号线(预计2030年前建成通车),周边还有宁杭、长深、沪蓉高速。
教育方面,板块内已有上坊小学、上坊中学、东山外国语学校、琅琊路小学江宁分校等优质教育资源。此外,还规划有幼儿园5所、小学3所、中学1所,12年一站式教育配套。
医疗方面,区域内目前已有第二人民医院,集医疗、保健、康复、健康体检为一体的南京景岳医院以及南京医科大学附属江宁医院,为三级甲等标准综合性医院。
商业方面,新城规划约70万方商务,内部高端商业配套丰富,坐享城市购物、文化、休闲、娱乐等多功能复合商业配套,兼之区域外部的高端生活机能配套,全面满足人们生活需要。
