记者 |
编辑 | 谢欣
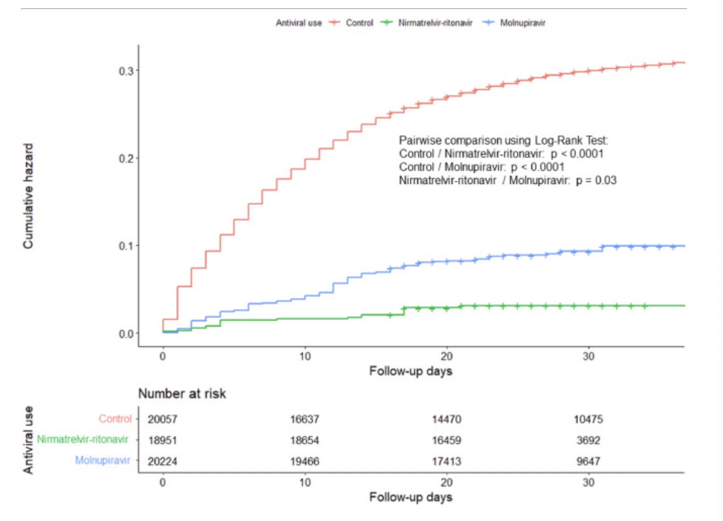
近日,界面新闻从香港中文大学医学院获悉,香港中文大学医学院与香港大学李嘉诚医学院研究团队发现,使用辉瑞或默沙东的任何一款新冠口服药的住院病人,较没有使用新冠口服药的住院病人死亡风险降低76%;门诊病人经急诊室入院次数亦减少88%。
此外,该研究还比较了使用新冠口服药与没有使用任何抗病毒药物的一般性治疗的医疗成本,计算出每一例死亡病例的医疗成本。以住院病人为例,研究发现,相比没有使用任何抗病毒药物的一般治疗方式,使用辉瑞新冠口服药奈玛特韦/利托那韦救一人性命,可降低医疗成本约4.3万港元(约3.9万人民币),而使用默沙东新冠口服药莫努匹韦则较一般治疗方式多2.06万港元(约1.87万人民币)。

研究共同第一作者、香港中文大学赛马会公共卫生及基层医学院博士后研究员陈盈表示,对于病情较轻的病人,这两款新冠口服药均能大大降低死亡风险,以及减少入院情况,同时能有效的运用医疗资源。
研究的共同通讯者、香港中文大学赛马会公共卫生及基层医学教授院黄丽仪表示,为了维持医疗系统运作如常,建议设立分流系统,把病情轻微至中度的新冠病人迅速转介指定诊所或私家医生,以及处方新冠口服药,令其发挥最大功效。
该研究名为《新冠口服抗病毒药物莫努匹韦、奈玛特韦/利托那韦与轻度至中度新冠高危患者的可预防死亡率、入院率和相关可避免的医疗系统成本关系》(Association of Molnupiravir and Nirmatrelvir-Ritonavir with preventable mortality, hospital admissions and related avoidable healthcare system cost among high-risk patients with mild to moderate COVID-19),由香港中文大学赛马会公共卫生及基层医学院联合港大医学院急诊医学系团队分析。研究选定今年2月至3月期间(香港第五波疫情高峰期)54355名到香港指定诊所或公立医院就医的新冠病毒确诊患者数据,包括60岁以上患者,以及60岁以下患1种或以上的长期病患病人。其中有两成病人被处方新冠口服药进行治疗。

需要注意的是,该研究仅关注使用了处方药莫努匹韦与奈玛特韦/利托那韦的轻至中度的新冠患者(包括,老年和慢性病患者)的病情进展风险。因此,排除了接受了瑞德西韦、地塞米松、重组人干扰素β-1b与血浆输注的患者。
该研究分别统计了门诊病人与住院病人。在门诊病人方面,有33217名新冠患者到指定门诊就诊,超一半患者为女性(53.1%)与近一半患者为69岁以下(48.4%),平均随访时间为38.85天。此外,无并发症糖尿病(8%)、脑血管疾病(3.4%)和癌症(2.6%)是患者中被发现的最普遍合并症。其中,共有29.5%的门诊患者被开具处方药莫努匹韦或奈玛特韦/利托那韦,有16.1%的患者获得莫努匹韦,有13.4%获得奈玛特韦/利托那韦。

在住院病人方面,共21138名新冠患者住院,有55.4%为男性患者,近40%来自养老院,平均随访时间为27.82天。此外,无并发症糖尿病(12.4%)、脑血管疾病(10%)和肾脏疾病(6.6%)是在这些患者中被发现的最普遍合并症。其中,有5.1%的新冠住院患者接受莫努匹韦,有1.3%接受了奈玛特韦/利托那韦。但大多数患者接受一个疗程。
此外,在住院病人中,有四分之一的病人死亡,有不到五分之一的人做了国际疾病与相关健康问题统计分类。其中,新冠病毒(58.1%)是该人群中是最常见的死因。

研究数据显示,使用辉瑞或默沙东的任何一款新冠口服药的住院病人,较没有使用任何抗病毒药物的的住院病人死亡风险降低76%。其中,单一使用辉瑞奈玛特韦/利托那韦的可降低死亡风险90%;单一使用默沙东莫努匹韦的病人死亡风险降低69%。
研究数据还显示,使用辉瑞或默沙东中任何一款新冠口服药的门诊病人,较没有使用新冠口服药的病人,28天内的入院风险降低88%。其中,单一使用辉瑞奈玛特韦/利托那韦的降低入院率效果明显,达63%;单一使用默沙东莫努匹韦的则可降低28%入院率。
此外,使用辉瑞或默沙东中任何一款新冠口服药的门诊病人,28天內经急诊再入院率减少21%。其中,奈玛特韦/利托那韦成效同样显著,达到53%;莫努匹韦则減少29%。

在比较使用新冠口服药与没有使用任何抗病毒药物的一般性治疗医疗成本方面,研究显示,在接受新冠口服药治疗的9787名门诊患者(每1000人2.8万美元)中,节省了7.9万美元(约56.21万元)。其中,包括减少再次就诊、减少非计划性入院和缩短住院时长。
在门诊中,与未使用新冠口服药患者相比,使用莫努匹韦让每位患者增加了1356.70美元(约9654.28元)的费用,降低了0.275%的死亡率;使用奈玛特韦/利托那韦为每位患者增加了917.16美元(约6526.51元)的费用,降低了0.277%死亡率。
其中,在门诊里有4442名患者使用奈玛特韦/利托那韦,降低了63%的重新住院率;在门诊里有5345名患者使用莫努匹韦,降低了28%的重新住院率。简而言之,再考虑未使用新冠口服药45%的重新就诊率和1.89%再次进入急诊率产生的额外费用,在门诊环节使用莫努匹韦与奈玛特韦/利托那韦共节省12720.4美元(约9.5万元),平均每1000人节省1299.7美元(约9248.67元)。
此外,在随后的入院治疗中,由于住院时间缩短,使用奈玛特韦/利托那韦总共节省了157688.2美元(约112.21万元),平均每1000人节省16112.0美元(约11.46万元)。在门诊里有4442名使用了奈玛特韦/利托那韦的患者总体平均住院时间减少了33%,平均住院时间为9.39天。
在住院患者中,其中,使用莫努匹韦的每名患者费用增加了449.57美元(约3199.14元),死亡率降低了17.1%,避免死亡的相应增量成本效益为2629.08美元(约18708.53元);使用奈玛特韦/利托那韦的患者里,每名患者费用节省了1265.58美元(约9005.87元),死亡率降低了23%,避免死亡的相应增量成本效益为5502.53美元(约3.9万元)。
换句话说,使用辉瑞新冠口服药奈玛特韦/利托那韦救一人性命,可降低医疗成本约3.9万人民币,而使用默沙东新冠口服药莫努匹韦较没有使用任何抗病毒药物的一般治疗方式则多约1.87万人民币。
