文 |
最近,关于新冠口服药的好消息不断传来。
比如来自默沙东的Molnupiravir,在临床试验中,它将患者的住院或死亡风险降低了约50%。(点击链接查看丁香园往期文章:《全球首个新冠口服药上市!死亡风险降低50%,能终结疫情吗?》)
再比如来自辉瑞的Paxlovid(PF-07321332+Ritonavir),它的效果从数据上看甚至要比Molnupiravir 更好:在临床试验中,它将患者的住院或死亡风险降低了约89%。(点击链接查看丁香园往期文章:《50%vs89%,两款新冠口服药公布数据,卷起来了?》)
如果我们把范围扩大达到口服药以外,还有一些抗体药值得关注。比如再生元的抗体鸡尾酒疗法REGEN-COV(静脉注射),它大约降低了门诊患者70%的住院或死亡风险;而腾盛博药的两个抗体药联用(BRII-196和BRII-198),降低了78%的住院或死亡风险。
不过,在目前所有已公布的临床试验结果中,有效率最为惊人的,是一款来自中国药物——普克鲁胺(Proxalutamide)。

根据普克鲁胺在巴西的临床试验,这款药物将门诊患者的住院率降低了91%。
而更为神奇的一点是,在一众抗病毒药物和抗体药物中,普克鲁胺的机制“剑走偏锋”:它原本是一款用于治疗前列腺癌的药物。
为何能治新冠?
普克鲁胺是一种雄激素受体(AR)拮抗剂。
AR是前列腺癌产生的一种驱动因素,高雄激素水平对前列腺癌的控制极为不利。因此,激素治疗在前列腺癌治疗方面起到了很关键的作用(类似的还有乳腺癌),像比卡鲁胺、恩杂鲁胺和这次要说的普克鲁胺,都属于AR拮抗剂,这些药物通过抑制AR,阻断雄激素发挥生物活性,从而抑制前列腺癌的进展。
据普克鲁胺的研发厂商开拓药业披露,目前,普克鲁胺用于治疗转移性去势抵抗性前列腺癌(mCRPC)已处于III期临床试验阶段。
那么,普克鲁胺是怎么跟新冠扯上关系的呢?
新冠疫情发展至今,全球已经有了数亿感染者。在一些临床研究中科研人员发现重症患者几个特点:
-成年女性的重症率显著低于成年男性。
-癌症患者的重症率更高,但是正在接受雄激素剥夺治疗(ADT)的患者重症率有所降低。
2020年6月,美国布朗大学教授Andy Goren博士发表论文,认为雄激素性脱发与高雄激素状态有关,同时,也和新冠严重程度存在联系。
这些流行病学研究都成为了雄激素相关药物可能用于治疗新冠的初步证据。
分子生物学研究显示,雄激素可以调节人体细胞表面两种受体——ACE2和TMPRSS2的表达。
ACE2是新冠病毒入侵人体细胞的受体,与新冠病毒的S蛋白结合。而TMPRSS2则是一种丝氨酸蛋白酶,能促进S蛋白的S1和S2亚基进行蛋白水解裂解,诱导病毒与质膜的融合,起到”助攻“的作用。
进一步研究发现,抗雄激素可以起到抑制AR的作用,从而下调肺和心脏中ACE2和TMPRSS2的表达水平。
这是普克鲁胺用于治疗新冠的理论基础,不过,这款药物目前并没有进行体外抗新冠病毒的相关机理研究。
结果亮眼:住院风险降低91%
当然,单纯有理论是远远不够的。一款药物是否真的有效,需要通过临床试验进行证实。
由于前期在治疗转移性去势抵抗性前列腺癌(mCRPC)的临床试验中,普克鲁胺已经展现了可靠的安全性。因此,该药用于治疗新冠的临床试验省略I/II期,直接从III期开始。
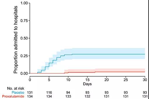
普克鲁胺的III期对照临床试验在巴西两个医疗中心开展(clinicaltrials.gov 编号:NCT04446429),研究人员来自美国、巴西、西班牙等多个国家,招募时间是去年10月21日至12月24日,268名男性患者按照1:1随机分组,他们的中位年龄为45岁。
药物组和安慰剂组分别连续7天口服普克鲁胺200mg或者安慰剂。主要的临床试验终点是随机分组30天内的住院率。
而临床试验结果,简单来说,可以用“非常好”来形容。
134名接受安慰剂的门诊患者,30天内住院的有35人(26%);而134名接受普克鲁胺治疗治疗的门诊患者,30天内住院的仅有3人(2.2%),P<0.001。试验过程中有2名患者死亡,都出现在安慰剂组。
安全性方面,治疗中出现的不良事件(TEAE),普克鲁胺组为61.2%,安慰剂组为90.6%。普克鲁胺组最常出现的是不良事件是腹泻(21%)和恶心(14%),不过没有人因为不良事件而停用药物。
通过计算,普克鲁胺将男性门诊患者的住院风险降低了91%,显示这个药对于对轻/中症的男性新冠患者有帮助。
这只是男性的试验,而在另外一项招募重症患者的临床试验(clinicaltrials.gov 编号:NCT04728802)当中,总共纳入645人,而女性占比达到了53%。研究结果显示,普克鲁胺将重症患者的死亡风险降低了92%(3.7%vs47.6%),并且缩短了平均住院时间9天(5天vs14天)。
被顶刊接连拒稿:too good to be true?
一款机制不同寻常的雄激素受体拮抗剂,却“歪打正着”地在新冠治疗方面大放异彩。
那么问题来了,这样一个效果出色、并且在今年3月已经公布主要临床试验结果的药物,为何迄今为止仍很少在临床运用?
实际上,普克鲁胺在巴西临床试验结果的预印本文章曾向NEJM和The Lancet投过稿,但都被拒绝了。
让顶刊犹豫的理由,究竟是什么?
首先,从新冠发病机制上来说,感染早期和晚期所面临的问题是不同的。
Molnupiravir、Paxlovid这些药最终能够脱颖而出,靠的主要还是非常强的抗病毒活性,IC50很低,进入体内起效很快,适用于治疗机会窗口很窄的病毒感染。
这些抗病毒药物越早使用就越有效,因为病毒复制速度远快于药物起效的速度,等到病毒大量复制,已经出现了细胞因子风暴等病理生理改变,抗病毒药物所起到的作用就很有限了,这时候就需要求助于能够减轻免疫反应的激素或者托珠单抗。
一款药物,很难对早期轻症或者后期重症都有效果,而普克鲁胺既不是抗病毒药物也不是缓解炎症反应的药物,这样”好得难以置信“的数据,似乎很难让人信服。
“好得难以置信”这句话正是Science对普克鲁胺的评价。
美国著名心脏病专家和科学家Eric Topol医生表示,在医学史上几乎从来没有某种医学干预措施能收获如此大的益处,新冠肺炎也不例外。
Eric Topol同时对巴西临床试验中的死亡人数提出质疑。
比如在招募重症的临床试验中,接受标准护理治疗的安慰剂组,病死率高达47.6%,也就是说几乎两名重症患者就有一名死亡。
对此,开拓药业的回应是,巴西由于P.1流行,危重症较多,并且出现了医疗挤兑的情况。这项研究开始时,亚马逊州住院新冠患者的死亡率约有43%。
但同时,也有不少专家质疑了临床试验的进展速度:该试验从今年2月初启动,但在3月就报告了中期结果。
这些专家认为,在不到30天的时间里,在一项研究中招募并监测大约600名患者同样令人难以置信。
目前,在普克鲁胺仍未在巴西获得销售批准,但当地已经有一些医生开始使用其他抗雄激素药物来治疗新冠。而这也激起了一些传染病学家的反对:“在没有科学依据的情况下,我们不能将国民的健康置于危险之中。”
对于现有的研究和结果,NEJM主编Eric Rubin在拒稿邮件中回复道:”结果出乎预料的好,但到底有多好,审稿人认为还需要对数据进行初步审查。“这意味着,顶刊想要看到的,不仅是分析,还有原始数据。
10月1日,普克鲁胺在美国的临床试验已经完成了首例患者的入组及给药。更多更详实的数据,将有助于我们判断这个药物在对抗新冠病毒时的真正疗效。
不怕火炼,唯有真金。(策划z_popeye、gyouza)
致谢:本文经病原生物学博士LN、华南理工大学生物科学与工程学院生物制药系副研究员关溯专业审核
参考资料:
[1]https://www.frontiersin.org/articles/10.3389/fmed.2021.668698/full
[2]https://www.science.org/content/article/too-good-be-true-doubts-swirl-around-trial-saw-77-reduction-covid-19-mortality
[3]https://clinicaltrials.gov/ct2/show/results/NCT04446429?cond=Proxalutamide&draw=2&rank=10
[4]https://clinicaltrials.gov/ct2/show/results/NCT04728802?cond=Proxalutamide&draw=2&rank=2
