文|聚美丽 诗 诗
前段时间,“唯成分论”一度成为业内热议的话题,业内专业人士对成分的探讨已经从单个成分的功效,逐渐转向整体的配方体系。成分复配,一直是化妆品研发中的重要课题,也是研发端竞争力的体现。
在复配中,抗氧化成分是各类化妆品中的“常客”,该类经典成分有:维生素C、虾青素、辅酶Q10等,而一些新型抗氧化剂比如艾地苯、富勒烯、麦角硫因,近年来也备受关注。
其中,麦角硫因作为一种天然的抗氧化成分和细胞保护剂,性质较为温和安全。此前,它的出现频率并不高,只有少数的高端品牌,比如雅诗兰黛、倩碧、伊丽莎白雅顿等会添加这一成分。值得一提的是,雅诗兰黛还拥有部分关于麦角硫因的专利技术。
而近年,麦角硫因逐渐作为“明星抗氧化成分”在产品复配中出现。

百年前在真菌中发现,原料价格极高但参差不齐

麦角硫因这个名字听上去似乎和玻色因、依克多因是同类,但其实它们之间没有多大联系。麦角硫因的化学名称为2-巯基组氨酸三甲基内盐,是一种天然的含硫氨基酸,广泛分布于自然界的动植物、微生物体内。与其他天然存在的硫醇(例如谷胱甘肽,N-乙酰半胱氨酸)相比,麦角硫因更加稳定,在生理pH下不易自发氧化。
最早在1909年,法国药剂师Charles Tanret在调查麦角真菌Claviceps purpurea时发现了麦角硫因。菌菇类以及麦角真菌中富含麦角硫因,同时,人体组织和器官中也含有麦角硫因,但人体自身并不能合成这一物质。因此,食用蘑菇被认为能够提高体内的麦角硫因含量。
最近几年,由于麦角硫因具备抗氧化、细胞保护等生理功能,在医药、食品和化妆品等领域被广泛研究。2019年发表在《阿尔兹海默病杂志》上的研究发现,食用蘑菇较多的 60 岁及以上成年人,他们患轻度认知障碍的几率会更低。因此,来自蘑菇和麦角真菌的麦角硫因或许能延迟神经退行性疾病的发生[1]。
化妆品是麦角硫因应用最为广泛的领域之一,麦角硫因在化妆品行业中的应用范围变广,成为推动近年来我国麦角硫因市场快速发展的重要动力之一。早在2014年,“麦角硫因”被国家食品药品监督管理局列入已使用化妆品原料目录。
在众多化妆品原料中,麦角硫因昂贵的价格也成为其一大特色,配方师Rex曾在其文章《抗氧化大魔王竟然是它?》中提到,纯麦角硫因原料的价格可以到达上万元/克。
不过,记者在阿里巴巴app上查询了麦角硫因原料成交量最高的几家厂商,发现它们之间的价格差异较大。

部分麦角硫因原料价格(由阿里巴巴app商家提供信息)
这些商家大多数都声称出售的麦角硫因是纯物质,但部分产品详情页面的标题中提到了松蕈提取物(混合物)。

截图来自阿里巴巴app
其中,华熙生物的麦角硫因原料为混合液体,该商家向记者提供了麦角硫因的含量测定信息(含量约为0.013%,换算成纯物质,价格约为7500元/g)。这样看来,一克纯物质的价格虽然不至于上万,但也确实贵得令人咋舌。


截图来自阿里巴巴app
此外,市面上同样宣称98%-99%纯度的麦角硫因,不同商家出售的价格却相差近百倍。某位国内企业相关负责人告诉聚美丽,由于发酵的产率不算高,麦角硫因生产成本也比较高,其正常价格一般在几百元/克。据了解,目前麦角硫因原料主要通过化学合成和生物发酵法制得,不同的获取途径、不同的纯度和质量,最终决定了麦角硫因的不同价格。
化妆品公司对麦角硫因的基础研究与应用
1)雅诗兰黛对麦角硫因的研究
作为雅诗兰黛的当家成分之一,麦角硫因出现在其多条产品线中。2002年,雅诗兰黛子公司 Applied Genetics Incorporated Dermatics 授予了一项发明专利,名为“用于保护线粒体的方法和组合物”(Methods and compositions for the protection of mitochondria)。
在此专利中,通过脂质体包裹的形式增强L-麦角硫因的有效应用和递送,且该方案有助于对抗辐射、自由基和活性氧对皮肤和机体的损害。

截图自相关专利文件
2009年,由雅诗兰黛公司的Nevena等人为第二作者,发表在《自由基生物学和医学》杂志上的一篇文章中,研究了麦角硫因在体内抗氧化防御系统中的作用[2]。
这篇文章较为详细地解读了麦角硫因的抗氧化机制,它主要通过皮肤产生的转运蛋白OCTN-1进入线粒体内,直接清除自由基,并保护线粒体,因此皮肤能够积累麦角硫因并加以运用;其次,麦角硫因还能够抑制脂质过氧化反应,以及由紫外线引发的细胞凋亡。

截图自相关文献
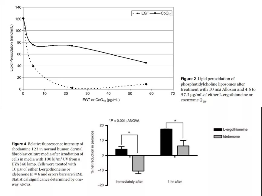
2007年,雅诗兰黛还在《化妆品皮肤病学杂志》上发布一项研究,将麦角硫因和同为抗氧化成分的艾地苯进行了对比。结果表明,在清除自由基和保护细胞免受紫外线诱导的活性氧方面,麦角硫因比辅酶Q10和艾地苯更强[3]。当然,艾地苯的抗氧化能力同样不容小觑,这一点已经在往期成分特辑《传说中抗氧化“地表最强”的艾地苯,是过誉了吗?丨成分特辑15》中有所介绍。

截图自相关文献
2)麦角硫因的起效浓度是多少?
继雅诗兰黛之后,最近几年国内企业也展开了对麦角硫因的研究。在麦角硫因原料的获取途径中,化学合成法和生物提取法都存在合成难度大、质量低且成本高的缺点;目前工业化的主要方式是生物发酵合成法,该工艺主要以蕈菌菌丝体发酵技术制备麦角硫因,能够克服上述存在的难点。
比如,上文提到的华熙生物,采用猴头菇和松蕈的菌丝体联合发酵技术制得了麦角硫因相关的原料Bioyouth -EGT。据华熙生物的监测数据,1.5%Bioyouth -EGT几乎可以完全清除UV诱导产生的ROS自由基,1.3%Bioyouth -EGT的DPPH自由基清除能力是同等浓度谷胱甘肽的14倍,辅酶Q10的30倍。
另外,还有研究结果显示,化妆品中麦角硫因的添加量达到0.01%-3%,即可以起到阻碍色素形成和沉着的作用[4]。在一项半脸双盲测试中,使用含0.5%麦角硫因的乳液4周后,水分含量增加15%,弹性提高20%。这都证明,低浓度的麦角硫因便具有一定护肤功效。
据悉,华熙生物为麦角硫因的相关技术申请了共14条专利,在今年五月份申请的名为“抗氧化组合物、制备方法及其在化妆品组合物中的应用”中表示,由虾青素、水解透明质酸钠、麦角硫因和EUK 134四种成分的组合物,搭配使用可协同增效,更高效地发挥抗氧化功效。据了解,华熙生物还开发了麦角硫因粉末原料,其中麦角硫因的含量更高,约为2500ppm。
麦角硫因被用在防晒、修复、抗衰老等产品中
由于麦角硫因的抗氧化和细胞保护作用,其功效也衍生到防晒、修复、美白、抗衰老等领域。比如,伊丽莎白雅顿的橘灿系列中有一款防晒产品:铂粹御肤智慧防护乳,其中添加的是橘灿系列的明星抗氧化组合——麦角硫因、艾地苯、阿魏酸和绿茶提取物。同时,采用了更加安全温和的物理防晒,SPF值为50+。
美国功效性护肤品牌Topix Replenix推出的亮白修复精华乳中,主打美白成分为2%浓度的脂质包裹乙基间苯二酚+熊果苷,还含有维E衍生物、卵磷脂和麦角硫因等较为温和的抗氧化成分。该产品主打美白、修护,售价约790/75g。
主打科学护肤的Rasi成分实验室,其麦角硫因精华液使用了无水配方保持成分的活性,结合1%的麦角硫因、松蕈提取物、库拉索芦荟叶汁、透明质酸等成分。产品主打精简配方,主要起到保湿、修护和抗衰老功效,售价269元/20ml。
国内护肤品牌Lakelab,据悉其核心配方师团队来自欧莱雅、雅诗兰黛和巴斯夫等知名企业。该品牌推出的焕颜赋能精华凝乳主打抗糖和抗氧化,并使用虾青素、葡糖基芦丁和麦角硫因的抗糖抗氧化成分组合,还添加了传明酸和烟酰胺两大美白成分。产品使用真空包装,以更好地保持成分活性。
不过,这里值得关注的一点是,这款产品的售价与上述几个品牌相比要低很多,价格为118元/50ml。
此外,国内产品还有珀莱雅双抗精华,同样使用了虾青素和麦角硫因的搭配,产品中使用了2%的麦角硫因,且来自于美国Barnet(雅诗兰黛供应公司);百植萃夜间修护精华液则使用了艾地苯+麦角硫因+松蕈提取物的抗氧化搭配;国内护肤品牌Purid推出的沁透莹泽精华中,使用了来自华熙生物的麦角硫因原料;国内新锐护肤品牌Simply This诗肤理,在多款产品中使用了麦角硫因,并联合运用了VC-IP、维E、迷迭香叶提取物等抗氧化成分。
在雅诗兰黛、伊丽莎白雅顿等品牌的带领下,与麦角硫因相关的经典成分搭配,比如麦角硫因和艾地苯、虾青素、透明质酸等成分的组合使用,已经成为协同增效的典型代表。虽然原料价格昂贵,但由于麦角硫因能够直接作用于线粒体,凭借着特有的抗氧化作用机制,受到不少品牌的关注。
目前,关于麦角硫因的具体作用机制仍然有很多值得研究之处。同时,国内外企业在这个原料的合成上也找到了合适的方法。虽然麦角硫因不是无可替代的成分,但其细胞保护和抗氧化作用,赋予了它更多的应用空间。
参考文献:
[1] Feng L , Cheah K M , Ng M X , et al. The Association between Mushroom Consumption and Mild Cognitive Impairment: A Community-Based Cross-Sectional Study in Singapore[J]. Journal of Alzheimer's disease: JAD, 2019, 68(1):1-7.
[2] Markova N G , Karaman-Jurukovska N , Dong K K , et al. Skin cells and tissue are capable of using L-ergothioneine as an integral component of their antioxidant defense system.[J]. Free Radic Biol Med, 2009, 46(8):1168-1176.
[3] Dong K K , Damaghi N , Kibitel J , et al. A comparison of the relative antioxidant potency of L-ergothioneine and idebenone[J]. Journal of Cosmetic Dermatology, 2010, 6(3):183-188.
[4] https://zhuanlan.zhihu.com/p/377814615
