万科宝能股权争夺战引发了市场对“举牌者”的高度关注。其实从今年6月份以来,市场上除了宝能系前后多次高调举牌万科之外,众多机构投资者也爱上“举牌”,不过这些“举牌者”目标多数为小市值的上市公司。其中,今年3月挂牌新三板的中科招商(832168.OC)也加入到“举牌者”的队伍中,旗下中科汇通已集中增持二十几家上市公司,多以“逢低吸筹”为策略对小股本公司进行打包扫货。
自12月22日起,中科招商因筹划上市公司股权收购事项停牌,这一次,它会怎么运作呢?有分析认为,中科招商从自己已举牌的公司中选取收购标的概率更大。
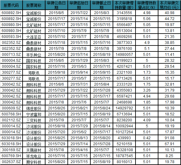
在7、8月份举牌潮中,中科招商表现较为积极。被举牌的上市公司包括朗科科技、沙河股份、北矿磁材、祥龙电业等多家小市值公司。其中,持有沙河股份、朗科科技、北矿磁材、鼎泰新材、国农科技的股份分别占总股本比例超过10%。
值得注意的是,中科招商的举牌标的多是经营状况和盈利能力不突出的企业。中科招商董事长单祥双在解释其选择举牌公司标准时称,这些公司盘子比较小,市值相对低,主营业务一般,但产业发展空间巨大,经历了本轮大跌之后,重组并购空间很大。


因近几年种业市场供给过剩暂未缓解,农业生产经营又有明显的季节性特征,致使丰乐种业的业绩表现不佳。据公司披露的前三季报数据显示,母公司及种业类全资子公司净利润-6,497万元,较上年同期-2,739万元减少3,758万元;农化产业净利润779万元,较上年同期1,160万元减少381万元;目前只有香料产业净利润1,262万元,较上年同期288万元增加974万元。
今年7月份,中科招商以均价11.41元一次性买入丰乐种业5.01%的股份。丰乐种业流通股本不足3亿,按当时的均价,总市值也不过34亿左右。值得注意的是,丰乐种业的实际控制人是合肥市国有资产监督管理委员会(持有合肥丰乐种业股份有限公司34.11%的股份)。公司作为中国种子行业居前的企业,受益于相关农业扶持政策,种业建设很可能成为扶持重点并催化相应的投资机会。
沙河股份(000014.SZ)主要从事房地产开发以及配套工程开发建设、新型建材的生产与销售、物业租赁与管理、物资供销,国内外商业。因近几年地产行业呈垄断趋势,且公司多个项目同时开展,业绩收入减少而资金需求不断增长,资产负债率处于较高水平。
公司目前总流通股本2.02亿,按中科招商7月份第一次举牌时的均价17.87元,当时市值仅为36亿。
继7月被中科招商旗下全资子公司中科汇通第一次举牌后, 沙河股份于8月18日发布公告,7 月 29 日至 8 月 14 日,中科汇通通过深圳证券交易所集中竞价交易系统增持沙河股份无限售条件流通股 1009.29万股。权益变动完成后,中科汇通持有沙河股份10%股份。
中科举牌沙河股份,正值国资改革热潮再起,有分析师认为,沙河股份和深振业A是深圳市国资委直属的两家房地产企业,有望成为深圳市地产板块国企改革的平台,而地产板块的整合也将是深圳国资改革的重点。
赞宇科技(002637.SZ)专业从事日用化工、表面活性剂等领域研发和生产的高新技术企业。
公司主营的AES表面活性剂在产业下游竞争激烈,2015年该部分应收大幅下降,同时,2015年棕榈油价格持续下跌,导致公司产生较高库存跌价损失。
赞宇科技为扭转局面,收购杭州油化,并逐步开始实现盈利。为进一步延伸上游产业链,公司通过募资8亿收购双马化工子公司杜库达和南通凯塔60%股权,并承诺2015年6月1日至2015年12月31日、2016年、2017年、2018年,杜库达(印尼)和南通凯塔实现净利润分别不低于2,800万元、10,000万元、18,000元和21,000万元。
鉴于赞宇科技正值业务扩张之际,中科汇通于7月15日至8月19日,增持赞宇科技流通股801.60万股,持股比例至赞宇科技股份的5.01%。

