
人们常说“三个臭皮匠,顶个诸葛亮”,金融欺诈分子也深刻意识到了这一点。他们采用明确的组织分工,设计环环相扣的欺诈伎俩,团伙骗贷、骗保案件屡屡发生。
相较于个体欺诈,这种团伙欺诈行为更难侦测和识别,传统的反欺诈工具无法从全局视角洞察欺诈风险。
因此,腾讯金融、苏宁金融等多家互金公司都研发了关系图谱来应对团伙欺诈。
什么是关系图谱?
关系图谱涵盖了生态体系内的所有个体(包括用户、账户、手机号等)和个体间的关联关系,可以帮助反欺诈人员从更高的维度去分析用户行为和交易,从而更容易发现团伙欺诈的蛛丝马迹。
如何从关系图谱中识别欺诈团伙是反欺诈的一个关键技术,在图论中相关的研究领域是社群检测(Community detection)。所谓社群,是指图谱中共享相同的属性或承担相似角色的一组个体,社会关系中常见的社群例如家庭、同事圈、朋友圈等等。
在关系图谱中,大多数的、正常的个体应该是独立的节点,或者与其他节点组成的小规模团体(在这种情况下,多数可能为家人或亲友关系)。若出现大量节点关系密切时,则这些团体可被归为异常,需要引起反欺诈人员的高度关注。
检测出欺诈团伙后,还可以通过识别中心节点,来进一步识别团伙中的核心人员,因为团伙核心人员承担相对重要且稳定的控制角色,他们必然会与其他团伙成员有大量的关联关系。
那么,反欺诈人员是如何检测出欺诈团伙的呢?
典型的社群检测方法
下面,我们将对几种典型的社群检测方法进行介绍。
(1)层次化聚类
层次化聚类是指自下而上将最相似的社群或节点合并为新的社群,这样便可以聚类得到若干组内差异相对较小、组间差异相对较大的社群。
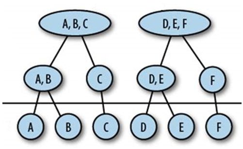
以下图为例,一共有A、B、C、D、E、F等6个节点,其中A和B相似度最高、D和E相似度最高,那么第一步先把A和B、D和E进行聚类合并,然后再比较(A,B)和C、(D,E)、F的相似性,进一步聚类。

这类方法的关键在于如何定义一个有效的指标来度量社群之间的相似性。一种常见的思路是将社群或节点映射到一个n维的特征空间,然后在特征空间中计算两个社群或节点之间的欧式距离。也可以基于节点之间的路径长度度量节点相似性,比如采用random walks方式计算节点之间的往返距离,距离越大表示相似性越低。
(2)分裂算法
一种简单的社群识别方法是先检测连接不同社群节点的关系并将其删除,以便断开不同社群之间的连接。这种算法的关键在于找到可以鉴别社群间连接关系的有效特征。边缘间距(edge betweenness)就是一种典型的鉴别特征,它是节点间最短路径经过特定关系的节点对的数量。
以下图为例,小A、小B、小C和小D、小E、小F、小G分别组成两个社群,关系4是这个两个社群的连接节点。小A和小C的最短路径是1,小A和小D的最短路径是1-4。显然,关系4的边缘间距大于其他关系:最短路径经过关系4的节点对包括(小A,小D)、(小B,小D)、(小C,小D)等12对,其他关系的边缘间距最大仅为2。删除掉关系4后,剩下的节点分别聚集成多个社群。


(3)基于团伙模式检测的算法
还有一类方法是通过直接检测特定的社群关系模式来定位团伙,典型的社群关系模式比如回环。社群的一个显著特征在于拥有高密度的关系网络,因此期望这样的关系形成回环是合理的。相反地,社群间的连接关系几乎不会成为回环的一部分。团伙欺诈中常见的回环模式比如循环担保、互为紧急联系人等等。

反欺诈人员可以通过计算经过特定关系的回环数量来判断该关系是否属于某个社群,相对回环数量越低,说明这个关系更有可能是连接两个社群的关系,而不是社群内关系。
目前,社群检测作为图论的一个经典研究方向已经有了很多经典有效的算法,而随着互联网和存储技术的发展,所需要进行分析的网络规模也越来越大。图谱研究的最大挑战在于,如何能够准确且及时地发现欺诈团伙,毕竟用户体验也是决定互联网产品成败的关键,拦截风险的时机稍纵即逝。就当前来看,苏宁金融的“幻识”反欺诈情报图谱能够识别疑似团伙账户和设备,实时拦截异常交易。未来,如果基于图谱的社群检测技术可以达到实时可用的水准,必将成为反欺诈的奇门遁甲。
