作者:陈星
说到测量地球“体重”,难道我们真有这样一杆称吗?当然不是!我们并不是要直接去“称”地球的质量,因为并不存在那么大的秤供我们使用。那么,严肃的说,地球质量到底是如何获得的呢?
获得了地球质量的直接好处就是可以发射火箭,因为只有知道了地球质量,我们才能准确得出发射火箭需要多少燃料,火箭升空后运行轨道的计算等等。拿前段时间刚坠毁“天宫一号”来说,在它坠毁之前,就有网站公布它可能坠落轨道,这个轨道的计算也要用到地球质量。
其实,地球质量是根据牛顿万有引力,通过巧妙的实验得出来的。第一个准确测出地球质量的人是英国科学家亨利.卡文迪许。对,有的同学可能已经想到了,大名鼎鼎的卡文迪许实验室就是为了纪念他而建立。

英国科学家亨利.卡文迪许(图片来源于网络)
从1687年牛顿发表万有引力理论到1798年卡文迪许公布地球质量,这期间经过了100多年。在这100多年里,科学家们不断尝试用不同方式去测量地球质量,但是都由于测量误差太大而失败。卡文迪许通过巧妙的设计实验,成功放大了大球和小球之间的引力从而测出了万有引力常数G,进而计算出了地球质量。他所用的实验仪器如下所示:

看起来有些复杂是吧,其实实验的主要部分很简单,如下图所示,其余部分只是为了排除环境的干扰。

看起来是不是比高中实验课上的实验还简单!就是这么简单的仪器,测量精度却高得吓人,误差大概在百万分之一,用这么简单的仪器就可以测出地球质量,这也是为什么卡文迪许的这个实验被认为是物理史上最经典的实验之一。下面我们讲讲这个实验是如何测量地球质量的。
在这个过程中小黄球和大蓝球的质量已知,分别是m 和M,它们的球心距离也已知,是r。大球和小球之间存在万有引力,相互吸引,这个力会产生一个力矩,最终会被悬挂小球钢丝的扭矩所平衡。这时候小球所在的位置会偏离一个角度。平衡式如下:

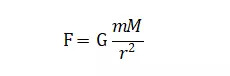
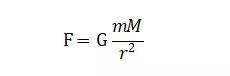
其中是钢丝线的扭转系数,L是连接两个小球的杆的距离,F是大球和小球之间的万有引力。F 的表达式是:

这个万有引力是非常小的,实际生活中几乎不可能感受到,但是确实存在。
两个小球之间的距离L和小球的偏离角度通过实验测量出来,钢丝扭转系数可以根据钢丝的性质计算出来,也可以认为是已知的。因此根据上面的已知条件可以计算出万有引力常数G,

然后再根据小球所受重力等于地球和小球之间的万有引力,就可以计算出地球的质量是:

卡文迪许通过他的实验估计出地球的质量为5.965×10^24kg,大概是60万亿亿吨,和现有的公认值 5.972 × 10^24 kg很接近。
卡文迪许实验的严谨之处在于,他用密闭的实验装置成功屏蔽了外界因素对测量结果的干扰,例如空气流动等,另外,他用悬线上的镜子成功地放大了引力所带来的偏转,减少了读数误差,另外为了克服周期性误差,例如温度的影响,卡文迪许测量地球的实验持续了好几年,从而有效降低了温度和扭秤周期性摆动对观察误差的影响。实验设计得如此巧妙,以至于实验精度在之后100多年都无人超越。他的扭秤实验至今仍然是测量万有引力常数的主要方法。
地球的质量了解之后就可以很容易地根据万有引力定律计算出月球和太阳的质量,进而计算出太阳系其他行星和天体的质量,因此卡文迪许实验意义的重要性是不言而喻的。
另外由地球的质量可以计算出地球的第二宇宙速度是11.2m/s, 这个速度就是卫星要脱离地球引力而进入宇宙空间的最小速度了。而且,计算人造卫星或者航天器的飞行轨迹,都要用到地球质量,因此知道地球的质量是发射卫星、航天器最基本的一步。
总结一下,卡文迪许测量地球质量的步骤就是先利用大球和小球之间的万有引力测出万有引力常数G,然后用G和小球质量去计算地球质量。
出品:科普中国
制作:陈星
监制:中国科学院计算机网络信息中心

“科普中国”是中国科协携同社会各方利用信息化手段开展科学传播的科学权威品牌
本文由科普中国融合创作出品,转载请注明出处。
