首只定增基金即将到期开放之际,限售股估值新规终于出台。9月6日,中国基金业协会发布《证券投资基金投资流通受限股票估值指引(试行)》(下称《指引》),并要求相关基金公司在今年12月31日前完成《指引》的实施工作。
此前九泰基金因估值的不确定性暂停了定期开放申赎。界面新闻分析指出,估值的不确定性在于减持新规背景下按原有方式,定增浮盈的估值被动拉高,整体基金净值出现“虚高”。(详见8月5日《九泰旗下两只定增基金说好了开放又中止 这背后有个更紧迫的问题》)
在原有估值方式中,当天估值=定增成本+(当天市价-定增成本)*(锁定期内的股票交易天数-估值日至锁定期结束所含的交易天数)/锁定期内的股票交易天数”。
公式的问题在于:减持新规要求定增股解禁后一年内,用集合竞价的方式减持不得超过50%。这就导致了定增股虽解禁但并不一定能完全流通,流动性出现部分打折的现象,而旧有公式无法计算这部分流动性折扣。
在最新发布的指引文件中,定增成本因素消失了,同时增加了流动性折扣这一因素。具体的公式为“当天估值=当天市价*(1-剩余限售期对应的流动性折扣。)”其中流动性折扣=估值日看跌期权的价值/市价。进一步简化即为:当天估值=当天市价-看跌期权价值。
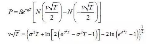
如何计算看跌期权价值?《指引》表示,证券投资基金持有的流通受限股票在估值日按平均价格亚式期权模型(“AAP模型”)确定估值日看跌期权的价值。AAP模型如下所示:


其中:
S:估值日在证券交易所上市交易的同一股票的公允价值
T:剩余限售期,以年为单位表示
σ:股票在剩余限售期内的股价的预期年化波动率
q:股票预期年化股利收益率
N: 标准正态分布的累积分布函数
其中,S及T的选取基本依照客观事实,两个新引入的相对主观的因子σ和q(即股票在剩余限售期内的股价预期年化波动率和股票预期年化股利收益率)则尤为重要。
界面新闻逐一解析因子影响如下:
第一个,σ,即股票在剩余限售期内的股价预期年化波动率。具体的计算方式是“通过计算股票估值日前对应的剩余限售期内的每个交易日(对应的剩余限售期内的交易日不足20日,以20日为计算周期)相对上一个交易日的对数收益率的标准差,并将该标准差年化后得到年波动率。” 也就是说,预期波动率的判断基于历史股价波动率,而预期波动率越大,沽空期权的价值便越大,限售股的整体估值也就越低。
第二个,q,股票预期年化股利收益率(股利即股息和红利的合称)。该数值可通过股票的历史股利收益率或行业指数股利收益率来估计。在公式中,简单来看,可以把e-qT 看做一个将当前股价从解禁日折现到现在时点的一个流动性因子,而后面的概率范围则代表了在波动率及剩余限售期不断调整的情况下,流动性折价的影响程度。可以说,历史分红越高的股票,受流通性影响就越小,沽空期权价值越低,限售股的整体估值就更高。
综合上述公式与模型,简要总结如下:
1.新规相较于原有规定,引入了股价波动率和历史股利的因素。波动率大不利于估值,而历史分红高有利于估值。
2.限售期越长,沽空期权价值越大,限售股价值越低。
3.距离解禁期越近,限售股估值上升的越快。如果说旧规的估值是个匀速上升的过程,那么新规则是一个加速上升的过程。
4.当限售股浮亏时,按照旧规,浮亏部分按照市价计算。而在新规中,浮亏不仅按市价计入浮亏,还要在这基础上减去沽空期权的价值。所以,新规下若限售股出现浮亏,估值将比旧规更低。
5.当限售股浮盈时,若按旧规计算,估值始终高于定增成本价。而按新规计算,若沽空期权的价值较大,估值可能比定增成本价更低。
由于大部分定增基金都有部分限售仓位为浮亏状态,按照新规,定增基金调低估值是必然动作。一位定增基金经理告诉界面新闻记者,定增解禁后,剩下的50%虽然有大宗交易作为减持通道,但不一定能顺利卖掉,需要考虑流动性折扣。按照新规,他所的公司产品可能比原来的基金净值下调1%-3%。
也有业内人士认为,定增基金部分股票需要通过大宗交易方式折价转让,转让当天也会出现净值下跌。新规降低了估值,可将其中的部分跌幅提前计提,平缓过渡。
财通基金发布公告称,旗下基金将适用新的估值办法,对旗下相关基金对应持仓标的估值方法进行调整,调整当日可能会对基金净值产生一定影响,进而对投资者申购、赎回权益产生影响。
界面新闻提醒投资者,定增基金近期下调估值,可能引发场内价格波动,应注意风险。

