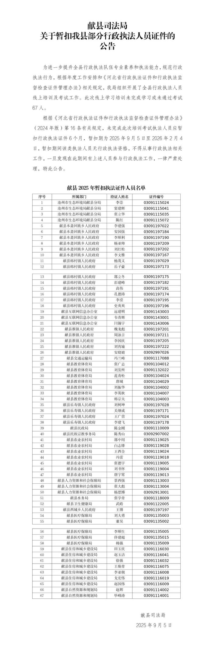
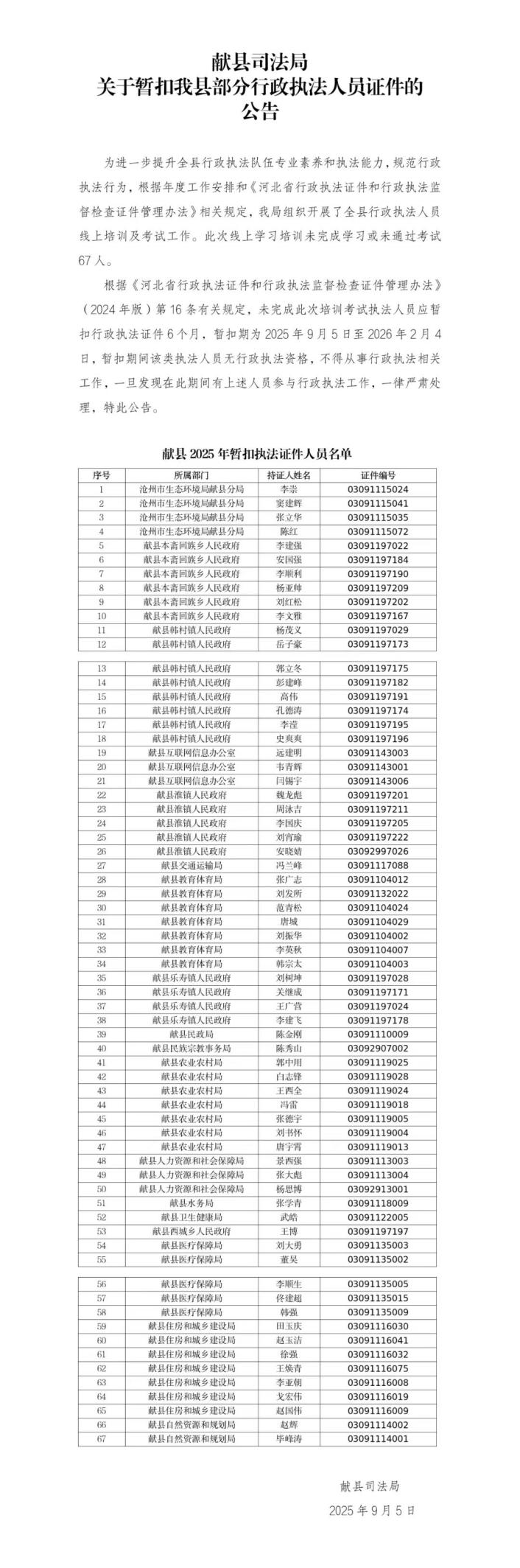
9月5日,河北省沧州市献县司法局官方微信公众号发布了“献县司法局关于暂扣我县部分行政执法人员证件的公告”。
公告显示,为进一步提升全县行政执法队伍专业素养和执法能力,规范行政执法行为,根据年度工作安排和《河北省行政执法证件和行政执法监督检查证件管理办法》相关规定,献县司法局组织开展了全县行政执法人员线上培训及考试工作。此次线上学习培训未完成学习或未通过考试67人。
根据《河北省行政执法证件和行政执法监督检查证件管理办法》(2024年版)第16条有关规定,未完成此次培训考试执法人员应暂扣行政执法证件6个月,暂扣期为2025年9月5日至2026年2月4日,暂扣期间该类执法人员无行政执法资格,不得从事行政执法相关工作,一旦发现在此期间有上述人员参与行政执法工作,一律严肃处理,特此公告。(具体人名单见下表)
经查询,《河北省行政执法证件和行政执法监督检查证件管理办法》第十六条还规定,行政执法证件被暂扣期间,行政执法机关应当对其进行不少于规定学时的离岗培训考试。暂扣的证件由本级司法行政部门保管,持证人所在单位是乡镇人民政府、街道办事处的,由县级人民政府司法行政部门保管。暂扣期满且离岗培训考试合格的,司法行政部门可以发还行政执法证件。
