界面新闻记者 |
界面新闻编辑 | 江怡曼
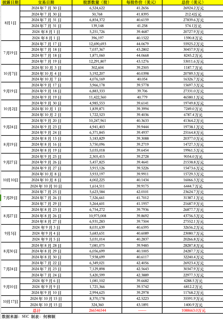
当地时间10月17日,据美国证券交易委员会(SEC)披露的文件,巴菲特旗下伯克希尔哈撒韦公司(BERKSHIRE HATHAWAY INC,下称“伯克希尔”)继续大幅减持美国银行。
SEC文件显示,伯克希尔于10月15日分别以42.5223美元售出了837万股、以43.1891美元售出了32万股美国银行股票,共套现3.70亿美元。

图源:SEC
7月中旬至今套现108亿美元
界面新闻记者统计发现,7月17日至今,伯克希尔共进行了16轮交易记录披露,合计51笔交易,售出约2.67亿股美国银行股票,平均每股作价40.62美元,套现金额高达108.87亿美元(约合人民币775亿元)。


多轮减持后,目前伯克希尔共持有美国银行7.66亿股,按照目前美国银行的总股本76.89亿股计算,持股占比为9.96%,减少至10%的关键门槛之下。此前减持中,持股占比也曾跌破10%,后因美国银行回购股票而使持股比例被推高至10%以上。
据了解,根据相关规定,若持股比例超过10%,需要在2个工作日内披露;若持股比例不超过10%,则无需尽快披露交易,通常可能会等待数周,在每个季度报告中披露。这意味着若持股比例持续少于10%,市场将无法迅速知悉巴菲特的减持动作。
SEC数据显示,截至今年二季度末,伯克希尔十大持仓分别为苹果、美国银行、美国运通、可口可乐、雪佛龙、西方石油、卡夫亨氏、穆迪、安达保险、达维塔保健。从公司类型看,科技、能源、医疗保健、金融等行业企业均占有席位。彼时伯克希尔持有10.33亿股美国银行股票,市值达到410.77亿美元,为伯克希尔的第二大仓位。
对于本轮减持,前海开源基金首席经济学家杨德龙提及,有人认为是美联储降息,或使美国银行利润缩水;也有市场猜测巴菲特抛售美国银行的股票主要是因为估值过高。
作为比较,伯克希尔近期加大了对同为金融股的安达保险的持仓。在今年一季度,安达保险作为“神秘股票”首度出现在伯克希尔的重要仓位中,市场为之瞩目。
此前因担忧披露对股价造成影响,伯克希尔特向SEC申请暂对该头寸保密,未作公示。截至二季度末,伯克希尔持有安达保险2703万股,较一季度末再增长111万股,持仓市值达到68.96亿美元,为伯克希尔第九大仓位。
安达保险是一家全球性的大型保险企业,业务遍及54个国家和地区,业务类型包括保险以及再保险范畴。在5月15日亮相伯克希尔榜单之后,安达保险在二级市场受到投资者热捧,股价从251美元/股上涨至如今的302美元/股。
值得一提的是,大幅减持美国银行之外,伯克希尔也在今年抛售了大量的苹果股票,该公司手上持有的苹果股票从一季度末的7.89亿股大幅减至二季度末的4亿股,近乎腰斩,但仍为第一大仓位。
2011年“抄底”美银
巨头的频繁减持似乎对美国银行股价影响不显著。
7月16日,美国银行收于43.8美元/股,10月17日收盘,美国银行股价报42.6美元/股,最新总市值为3275.42亿美元。
从月度表现看,美国银行7月、8月均录得1%以上的涨幅,9月跌近2%。但10月至今股价表现积极,已上涨7.36%。
据了解,伯克希尔在2011年大手笔投资美国银行,当时美国银行股价处于历史低位,当年股价最低位跌破4美元/股,在美银低迷之际,巴菲特以50亿美元拿到了该行的优先股和认股权证。长期以来,美国银行都在伯克希尔的仓位中扮演重要角色。也因此,巴菲特本次减持尤其受到市场关注。
杨德龙认为,巴菲特在美股节节攀升时开始悄悄撤退,保留大量的资金仓位是为了预防美股泡沫破裂,等到下一轮美股出现非理性下跌时再逢低布局。其称,这正是巴菲特在投资市场长期屹立不倒的重要原因,如果遇到估值过高,他会进行减持,而市场出现非理性下跌的时候,他会果断买入。
需要指出的是,在几年前,巴菲特也曾大量抛售其他金融股,包括削减高盛、摩根大通的头寸。
若从美国银行的业绩表现来看,该行于10月15日发布的三季度财报其实略微超过了市场预期。数据显示,美国银行第三季度总营收253亿美元,去年同期252亿美元,同比增长0.4%;净利润69亿美元,去年同期为78亿美元,同比下跌11.5%;每股盈利0.81美元,去年同期为0.90美元。同时,美国银行董事会宣布2024年四季度股票分红计划,每股派息0.26美元。
近日,摩根士丹利将美国银行目标价从47美元上调至48美元;巴克莱将美国银行的目标价从49美元上调至53美元,维持“增持”评级。官网显示,美国银行目前为约6900万消费者和小型企业客户提供服务,拥有约3700个零售金融中心。
美国银行业或继续承压
市场对于巴菲特本次减持有众多讨论,目前有更多观点认为主要是考虑到美联储降息对银行业带来的压力。
9月18日,美国联邦储备委员会宣布将联邦基金利率目标区间下调50个基点,降至4.75%至5.00%之间的水平。这成为美联储自2020年3月以来的首次降息,也标志着货币政策紧缩周期向宽松周期的转向。
美国以“激进”的50个基点开启了降息通道的同时,也给银行盈利能力带来了莫大挑战。
中国银行研究院博士后马天娇向界面新闻记者分析称,由于银行资产端收益率对基准利率变动敏感性大于负债端成本率对基准利率变动敏感性,美联储降息情况下,资产重新定价速度实际上快于负债重定价速度,美国银行业面临净息差收窄压力,净利息收入和盈利能力可能受到打击。
今年三季度,美国银行净息差为1.92%,较第二季度环比下降1个基点,较去年同期同比下降19个基点。
目前美国银行业的规模增长并不乐观。中国银行研究院四季度报告指出,2024年以来,全球经济延续弱复苏态势,各经济体银行业根据经营实际灵活调整业务摆布,规模增长呈现有进有退的分化趋势。其中,美国、欧元区、英国等发达经济体银行业在经济增长乏力、金融市场波动加剧的背景下,逐步放缓规模扩张步伐,甚至出现小幅收缩。6月末,美国银行业资产规模约合24.0万亿美元,同比增长2.1%,增长较为缓慢。
展望未来,马天娇认为降息路径仍然存在较大不确定性,美国经济实现平稳“软着陆”仍面临一定难度,美国银行业流动性与资产负债的主动审慎管理能力承受考验,薄弱领域如商业地产风险、中低收入群体债务的信用风险仍值得高度关注。
